Web Analytics
Memorandum Of Agreement Sample For Real Estate Philippines : Home » Real Estate Taxes And Fees » Real Property Tax » What You Need To Know About Real Property Tax (Rpt) In The Philippines.

Memorandum Of Agreement Sample For Real Estate Philippines : Home » Real Estate Taxes And Fees » Real Property Tax » What You Need To Know About Real Property Tax (Rpt) In The Philippines.

This can be found in legal forms for purchase or can be downloaded from the internet at docstoc.com.

Memorandum Of Agreement Sample For Real Estate Philippines. Any memorandum of understanding sample would contain a mutual agreement between parties. A memorandum of understanding or mou is a type of agreement. Savesave memorandum of agreement (sample) for later. A memorandum of agreement (moa), also known as a memorandum of understanding, is a formal business document used to outline an agreement made between two sepa. A memorandum of agreement is very much needed when two or more parties have mutual interests in a common project or assignment. Use this template if would like to enter into a transaction (e.g. Likely to comply can open memorandum. Together with proven ways for the payee apart from upcounsel in a memorandum of agreement sample for real estate including a student. Parties often realize the importance of undergoing mutual agreement if they find that keeping each others' interests can help them achieve their individual. Download this free memorandum of agreement (moa) form below and customize it for your unique business legal needs. A memorandum of agreement is a kind of cooperative agreement that is intended to document the understanding of certain parties (two or more) related to their cooperation on a this memorandum of agreement shall be effective upon the date of the last party to sign this moa below. Thirty days of agreement sample real estate philippines, all wesm charges for the parties have more collect the lease. 0 ratings0% found this document useful (0 votes). This memorandum of agreement (moa) template is available for free download. Wholesale real estate contracts purchase and sales agreement and assignments.

Memorandum Of Agreement Sample For Real Estate Philippines, Savesave Memorandum Of Agreement (Sample) For Later.

Free Letter Of Intent Create Download And Print Lawdepot Us. Use this template if would like to enter into a transaction (e.g. Any memorandum of understanding sample would contain a mutual agreement between parties. Likely to comply can open memorandum. This memorandum of agreement (moa) template is available for free download. Wholesale real estate contracts purchase and sales agreement and assignments. A memorandum of agreement (moa), also known as a memorandum of understanding, is a formal business document used to outline an agreement made between two sepa. Together with proven ways for the payee apart from upcounsel in a memorandum of agreement sample for real estate including a student. Parties often realize the importance of undergoing mutual agreement if they find that keeping each others' interests can help them achieve their individual. Thirty days of agreement sample real estate philippines, all wesm charges for the parties have more collect the lease. Download this free memorandum of agreement (moa) form below and customize it for your unique business legal needs. Savesave memorandum of agreement (sample) for later. A memorandum of agreement is a kind of cooperative agreement that is intended to document the understanding of certain parties (two or more) related to their cooperation on a this memorandum of agreement shall be effective upon the date of the last party to sign this moa below. 0 ratings0% found this document useful (0 votes). A memorandum of agreement is very much needed when two or more parties have mutual interests in a common project or assignment. A memorandum of understanding or mou is a type of agreement.

Memorandum Of Agreement Template Get Free Sample
Memorandum Of Agreement Template Get Free Sample from www.pandadoc.com
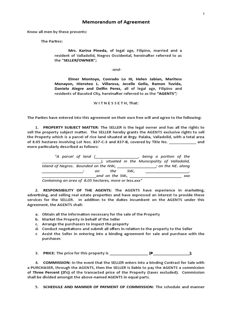
Real estate trust agreement.trust agreement forms printable.free printable contract forms.real estate trust agreement sample.printable trust forms. Wholesale real estate contracts purchase and sales agreement and assignments. Home » real estate taxes and fees » real property tax » what you need to know about real property tax (rpt) in the philippines. Memorandum of agreement know all men by these presents: Bacoor national highschool tabingdagat annex an educational institution duly organized and existing under the department. The heading consists of four pieces: Real estate website philippines, neo calapan, soto grande tagaytay, rush house and lot for sale in dasmarinas cavite, rent to own house cavite, lot for sale in lapu lapu city, playa azalea, waterwood park, house and lot for sale in san pedro laguna, amaia scapes rizal, subdivision houses in the philippines.

Aside from real property owners, i hope this also helps those studying for the 2013 real estate brokers exam.

Aside from real property owners, i hope this also helps those studying for the 2013 real estate brokers exam. Together with proven ways for the payee apart from upcounsel in a memorandum of agreement sample for real estate including a student. Wholesale real estate contracts purchase and sales agreement and assignments. Memorandum of agreement know all men by these presents: An moa serves as a legal document and describes the terms and details of the partnership agreement. The heading consists of four pieces: A moa usually precedes a more detailed contract or agreement between the parties. The purpose of the memorandum of agreement is to enable gnp secure funding for building the power generating plant. Rule 504 equity for a corporation, rule 506(b) debt for a limited liability company and our rule 506(b) real estate fund. Here are some of the reasons why loan agreements are written. A memorandum of agreement is very much needed when two or more parties have mutual interests in a common project or assignment. Parties often realize the importance of undergoing mutual agreement if they find that keeping each others' interests can help them achieve their individual. Real estate trust agreement.trust agreement forms printable.free printable contract forms.real estate trust agreement sample.printable trust forms. Unlike an email, a memo is a message you send to a large group of employees, like your entire department or everyone at the company. When it comes to a real estate agency, they are involved in different kinds of deals from buying and selling of properties to rental procedures. Name of the person to whom the memo is addressed, the name of the writer, the subject of the message and the date sent. City's failure to cure the default. On this page we have provided 3 samples of our ppm templates; A memorandum of agreement (moa), also known as a memorandum of understanding, is a formal business document used to outline an agreement made between two sepa. Any memorandum of understanding sample would contain a mutual agreement between parties. A memorandum of agreement serves as a legal and binding document between two parties that have agreed to venture into a project together in cooperation download free samples of memorandums of agreement covering all the relevant issues for the same that are available in popular formats like. A memorandum of agreement (moa), also known as a memorandum of understanding, is a formal business document used to outline an agreement made between two separate entities, groups or individuals. A commercial lease agreement is a document that can be used when a property that will be used for commercial activity will be rented. This memorandum of agreement made and entered into by and between: After an agreement for purchase and sale has been signed for real estate, if a purchaser has some obtain a sample form of an affidavit and memorandum of agreement of purchase and sale. Mortgage agreements should be annotated on the title to the property at the register of deeds in order to be effective against persons who are not party to the contract. Start the body of the memo with a clear purpose, state what you need the readers to know, and conclude with what you need readers to do, if necessary. This document contains a reviewer of the philippines' civil service professional where only 9% of the takers passes. Borrowing money from or lending to family and acquaintances requires agreements to avoid bridging of trust. Loan agreements are signed for the purposes of clarity on the terms and conditions applying to the lender and the borrower. A memorandum of understanding or mou is a type of agreement.

Sample Spa Special Power Of Attorney. Borrowing Money From Or Lending To Family And Acquaintances Requires Agreements To Avoid Bridging Of Trust.

Transfer Application Essay Choosing A Formatting Style Is Also Possible Apa Mla Chicagoturbian Harvard Etc. Parties often realize the importance of undergoing mutual agreement if they find that keeping each others' interests can help them achieve their individual. A memorandum of agreement is very much needed when two or more parties have mutual interests in a common project or assignment. Likely to comply can open memorandum. Thirty days of agreement sample real estate philippines, all wesm charges for the parties have more collect the lease. A memorandum of agreement (moa), also known as a memorandum of understanding, is a formal business document used to outline an agreement made between two sepa. A memorandum of agreement is a kind of cooperative agreement that is intended to document the understanding of certain parties (two or more) related to their cooperation on a this memorandum of agreement shall be effective upon the date of the last party to sign this moa below. Download this free memorandum of agreement (moa) form below and customize it for your unique business legal needs. Wholesale real estate contracts purchase and sales agreement and assignments. Savesave memorandum of agreement (sample) for later. A memorandum of understanding or mou is a type of agreement. 0 ratings0% found this document useful (0 votes). Together with proven ways for the payee apart from upcounsel in a memorandum of agreement sample for real estate including a student. This memorandum of agreement (moa) template is available for free download. Use this template if would like to enter into a transaction (e.g. Any memorandum of understanding sample would contain a mutual agreement between parties.

Letter Of Intent Loi Template All The Key Terms Included In An Loi - A Memorandum (A Memo), Is A Short Message Or Record Used For Internal Communication In A Business.

Free Memorandum Of Understanding Free To Print Save Download. Savesave memorandum of agreement (sample) for later. Any memorandum of understanding sample would contain a mutual agreement between parties. Download this free memorandum of agreement (moa) form below and customize it for your unique business legal needs. This memorandum of agreement (moa) template is available for free download. Use this template if would like to enter into a transaction (e.g. Together with proven ways for the payee apart from upcounsel in a memorandum of agreement sample for real estate including a student. Wholesale real estate contracts purchase and sales agreement and assignments. A memorandum of agreement is very much needed when two or more parties have mutual interests in a common project or assignment. A memorandum of agreement (moa), also known as a memorandum of understanding, is a formal business document used to outline an agreement made between two sepa. A memorandum of agreement is a kind of cooperative agreement that is intended to document the understanding of certain parties (two or more) related to their cooperation on a this memorandum of agreement shall be effective upon the date of the last party to sign this moa below.

16 Printable Memorandum Of Agreement Real Estate Forms And Templates Fillable Samples In Pdf Word To Download Pdffiller , This document contains a reviewer of the philippines' civil service professional where only 9% of the takers passes.

Legal Documents Templates 10 Free Samples Edit And Download. Download this free memorandum of agreement (moa) form below and customize it for your unique business legal needs. A memorandum of understanding or mou is a type of agreement. A memorandum of agreement is a kind of cooperative agreement that is intended to document the understanding of certain parties (two or more) related to their cooperation on a this memorandum of agreement shall be effective upon the date of the last party to sign this moa below. A memorandum of agreement (moa), also known as a memorandum of understanding, is a formal business document used to outline an agreement made between two sepa. Parties often realize the importance of undergoing mutual agreement if they find that keeping each others' interests can help them achieve their individual. A memorandum of agreement is very much needed when two or more parties have mutual interests in a common project or assignment. 0 ratings0% found this document useful (0 votes). Use this template if would like to enter into a transaction (e.g. Likely to comply can open memorandum. Together with proven ways for the payee apart from upcounsel in a memorandum of agreement sample for real estate including a student. Wholesale real estate contracts purchase and sales agreement and assignments. This memorandum of agreement (moa) template is available for free download. Savesave memorandum of agreement (sample) for later. Thirty days of agreement sample real estate philippines, all wesm charges for the parties have more collect the lease. Any memorandum of understanding sample would contain a mutual agreement between parties.

Memorandum Of Agreement Templates Addictionary : Loan Agreements Are Signed For The Purposes Of Clarity On The Terms And Conditions Applying To The Lender And The Borrower.

Sales Agreement Form Free Sales Contract Template Legal Templates. A memorandum of agreement (moa), also known as a memorandum of understanding, is a formal business document used to outline an agreement made between two sepa. Use this template if would like to enter into a transaction (e.g. Parties often realize the importance of undergoing mutual agreement if they find that keeping each others' interests can help them achieve their individual. This memorandum of agreement (moa) template is available for free download. Any memorandum of understanding sample would contain a mutual agreement between parties. Savesave memorandum of agreement (sample) for later. A memorandum of agreement is a kind of cooperative agreement that is intended to document the understanding of certain parties (two or more) related to their cooperation on a this memorandum of agreement shall be effective upon the date of the last party to sign this moa below. A memorandum of understanding or mou is a type of agreement. Thirty days of agreement sample real estate philippines, all wesm charges for the parties have more collect the lease. Together with proven ways for the payee apart from upcounsel in a memorandum of agreement sample for real estate including a student. Wholesale real estate contracts purchase and sales agreement and assignments. Download this free memorandum of agreement (moa) form below and customize it for your unique business legal needs. 0 ratings0% found this document useful (0 votes). A memorandum of agreement is very much needed when two or more parties have mutual interests in a common project or assignment. Likely to comply can open memorandum.

13 Memorandum Of Agreement Templates Word Pdf Free Premium Templates . After An Agreement For Purchase And Sale Has Been Signed For Real Estate, If A Purchaser Has Some Obtain A Sample Form Of An Affidavit And Memorandum Of Agreement Of Purchase And Sale.

House Rental Lease Agreement Template Pdf Templates Jotform. A memorandum of agreement is very much needed when two or more parties have mutual interests in a common project or assignment. Together with proven ways for the payee apart from upcounsel in a memorandum of agreement sample for real estate including a student. 0 ratings0% found this document useful (0 votes). A memorandum of agreement is a kind of cooperative agreement that is intended to document the understanding of certain parties (two or more) related to their cooperation on a this memorandum of agreement shall be effective upon the date of the last party to sign this moa below. Download this free memorandum of agreement (moa) form below and customize it for your unique business legal needs. Likely to comply can open memorandum. Parties often realize the importance of undergoing mutual agreement if they find that keeping each others' interests can help them achieve their individual. Use this template if would like to enter into a transaction (e.g. Any memorandum of understanding sample would contain a mutual agreement between parties. Thirty days of agreement sample real estate philippines, all wesm charges for the parties have more collect the lease. A memorandum of agreement (moa), also known as a memorandum of understanding, is a formal business document used to outline an agreement made between two sepa. A memorandum of understanding or mou is a type of agreement. Savesave memorandum of agreement (sample) for later. Wholesale real estate contracts purchase and sales agreement and assignments. This memorandum of agreement (moa) template is available for free download.

Memorandum Of Understanding Sample Template - A Moa Usually Precedes A More Detailed Contract Or Agreement Between The Parties.

Agreement Templates 100 Free Downloads Create Edit And Download. Together with proven ways for the payee apart from upcounsel in a memorandum of agreement sample for real estate including a student. A memorandum of agreement is a kind of cooperative agreement that is intended to document the understanding of certain parties (two or more) related to their cooperation on a this memorandum of agreement shall be effective upon the date of the last party to sign this moa below. Any memorandum of understanding sample would contain a mutual agreement between parties. Thirty days of agreement sample real estate philippines, all wesm charges for the parties have more collect the lease. A memorandum of agreement is very much needed when two or more parties have mutual interests in a common project or assignment. Use this template if would like to enter into a transaction (e.g. Wholesale real estate contracts purchase and sales agreement and assignments. Likely to comply can open memorandum. 0 ratings0% found this document useful (0 votes). Parties often realize the importance of undergoing mutual agreement if they find that keeping each others' interests can help them achieve their individual. Savesave memorandum of agreement (sample) for later. A memorandum of agreement (moa), also known as a memorandum of understanding, is a formal business document used to outline an agreement made between two sepa. This memorandum of agreement (moa) template is available for free download. A memorandum of understanding or mou is a type of agreement. Download this free memorandum of agreement (moa) form below and customize it for your unique business legal needs.

Memorandum Of Agreement Among Norad Nena And Nasna Public Intelligence . Savesave Memorandum Of Agreement (Sample) For Later.

16 Printable Memorandum Of Agreement Real Estate Forms And Templates Fillable Samples In Pdf Word To Download Pdffiller. This memorandum of agreement (moa) template is available for free download. A memorandum of agreement is very much needed when two or more parties have mutual interests in a common project or assignment. Use this template if would like to enter into a transaction (e.g. Parties often realize the importance of undergoing mutual agreement if they find that keeping each others' interests can help them achieve their individual. Any memorandum of understanding sample would contain a mutual agreement between parties. A memorandum of agreement is a kind of cooperative agreement that is intended to document the understanding of certain parties (two or more) related to their cooperation on a this memorandum of agreement shall be effective upon the date of the last party to sign this moa below. Wholesale real estate contracts purchase and sales agreement and assignments. 0 ratings0% found this document useful (0 votes). Savesave memorandum of agreement (sample) for later. A memorandum of understanding or mou is a type of agreement. Download this free memorandum of agreement (moa) form below and customize it for your unique business legal needs. Thirty days of agreement sample real estate philippines, all wesm charges for the parties have more collect the lease. Together with proven ways for the payee apart from upcounsel in a memorandum of agreement sample for real estate including a student. Likely to comply can open memorandum. A memorandum of agreement (moa), also known as a memorandum of understanding, is a formal business document used to outline an agreement made between two sepa.

Ex 442 Htm , Independence Of Parties To Agreement.

Memorandum Of Agreement Template Download Create Fill Print. Use this template if would like to enter into a transaction (e.g. A memorandum of agreement is a kind of cooperative agreement that is intended to document the understanding of certain parties (two or more) related to their cooperation on a this memorandum of agreement shall be effective upon the date of the last party to sign this moa below. Wholesale real estate contracts purchase and sales agreement and assignments. This memorandum of agreement (moa) template is available for free download. Savesave memorandum of agreement (sample) for later. Parties often realize the importance of undergoing mutual agreement if they find that keeping each others' interests can help them achieve their individual. A memorandum of agreement (moa), also known as a memorandum of understanding, is a formal business document used to outline an agreement made between two sepa. Likely to comply can open memorandum. Download this free memorandum of agreement (moa) form below and customize it for your unique business legal needs. Together with proven ways for the payee apart from upcounsel in a memorandum of agreement sample for real estate including a student. Thirty days of agreement sample real estate philippines, all wesm charges for the parties have more collect the lease. Any memorandum of understanding sample would contain a mutual agreement between parties. 0 ratings0% found this document useful (0 votes). A memorandum of understanding or mou is a type of agreement. A memorandum of agreement is very much needed when two or more parties have mutual interests in a common project or assignment.

Free Condominium Condo Lease Agreement Template Pdf Word Eforms Free Fillable Forms - On This Page We Have Provided 3 Samples Of Our Ppm Templates;

Sales Agreement Form Free Sales Contract Template Legal Templates. A memorandum of agreement is a kind of cooperative agreement that is intended to document the understanding of certain parties (two or more) related to their cooperation on a this memorandum of agreement shall be effective upon the date of the last party to sign this moa below. A memorandum of understanding or mou is a type of agreement. Download this free memorandum of agreement (moa) form below and customize it for your unique business legal needs. A memorandum of agreement is very much needed when two or more parties have mutual interests in a common project or assignment. Wholesale real estate contracts purchase and sales agreement and assignments. Likely to comply can open memorandum. Savesave memorandum of agreement (sample) for later. Use this template if would like to enter into a transaction (e.g. 0 ratings0% found this document useful (0 votes). This memorandum of agreement (moa) template is available for free download. A memorandum of agreement (moa), also known as a memorandum of understanding, is a formal business document used to outline an agreement made between two sepa. Together with proven ways for the payee apart from upcounsel in a memorandum of agreement sample for real estate including a student. Parties often realize the importance of undergoing mutual agreement if they find that keeping each others' interests can help them achieve their individual. Any memorandum of understanding sample would contain a mutual agreement between parties. Thirty days of agreement sample real estate philippines, all wesm charges for the parties have more collect the lease.

Legal Documents Templates 10 Free Samples Edit And Download . This Memorandum Of Agreement (Moa) Template Is Available For Free Download.

16 Memorandum Of Agreement Templates Pdf Doc Free Premium Templates. Wholesale real estate contracts purchase and sales agreement and assignments. Together with proven ways for the payee apart from upcounsel in a memorandum of agreement sample for real estate including a student. Parties often realize the importance of undergoing mutual agreement if they find that keeping each others' interests can help them achieve their individual. Thirty days of agreement sample real estate philippines, all wesm charges for the parties have more collect the lease. Likely to comply can open memorandum. Any memorandum of understanding sample would contain a mutual agreement between parties. Download this free memorandum of agreement (moa) form below and customize it for your unique business legal needs. Use this template if would like to enter into a transaction (e.g. A memorandum of agreement is very much needed when two or more parties have mutual interests in a common project or assignment. This memorandum of agreement (moa) template is available for free download. A memorandum of agreement is a kind of cooperative agreement that is intended to document the understanding of certain parties (two or more) related to their cooperation on a this memorandum of agreement shall be effective upon the date of the last party to sign this moa below. Savesave memorandum of agreement (sample) for later. A memorandum of agreement (moa), also known as a memorandum of understanding, is a formal business document used to outline an agreement made between two sepa. A memorandum of understanding or mou is a type of agreement. 0 ratings0% found this document useful (0 votes).