Web Analytics
Nominee Shareholder Agreement Sample . Shareholders Agreement Sample New Zealand.

Nominee Shareholder Agreement Sample . Shareholders Agreement Sample New Zealand.

For the directors or stakeholders.

Nominee Shareholder Agreement Sample. A shareholder agreement which is also known as a shareholder loan agreement or a shareholder's agreement form is a contract made between the shareholders of a company. A shareholders agreement is a contract between some or all of the shareholders in a company. Each member of management, jointly and severally, covenants to the. It describes the operations of the company along with the obligations and rights of the shareholders. Download this legal nominee shareholder agreement template now to find inspiration! This nominee shareholder agreement template covers the most important subjects and will help you to structure and communicate in a professional and legal way with the stakeholders involved, such as Some of the details which may be provided in this document include: This nominee shareholder declaration of trust agreement details the basic obligations under which a nominee holds shares only for a beneficial owner. Party b and party c are nominee shareholders designated by party a for the company, who hold party a's as soon as practicable after the date of this agreement, but in no event later than february 28 nominee shareholders. In many cases, the company is also a party to the agreement. This agreement, dated agreement date is entered into amongst the following individuals constituting all of the current shareholders of corporation. A beneficial owner may choose as part of the shareholding arrangements of a company to appoint a nominee as it does not wish its name to. All formats available for pc, mac, ebook download free printable shareholder agreement samples in pdf, word and excel formats. Download nominee shareholder agreement for free. This shareholder agreement template is the perfect sample of how to outline how corporate shareholders will work with each other.

Nominee Shareholder Agreement Sample. Written Agreement Forms Help You Protect Your Legal Rights And Know Your.

Nominee Services And Their Role In The Offshore Industry Offshore For Beginners. All formats available for pc, mac, ebook download free printable shareholder agreement samples in pdf, word and excel formats. Download nominee shareholder agreement for free. A beneficial owner may choose as part of the shareholding arrangements of a company to appoint a nominee as it does not wish its name to. Each member of management, jointly and severally, covenants to the. Download this legal nominee shareholder agreement template now to find inspiration! Some of the details which may be provided in this document include: A shareholder agreement which is also known as a shareholder loan agreement or a shareholder's agreement form is a contract made between the shareholders of a company. This shareholder agreement template is the perfect sample of how to outline how corporate shareholders will work with each other. This nominee shareholder agreement template covers the most important subjects and will help you to structure and communicate in a professional and legal way with the stakeholders involved, such as In many cases, the company is also a party to the agreement. Party b and party c are nominee shareholders designated by party a for the company, who hold party a's as soon as practicable after the date of this agreement, but in no event later than february 28 nominee shareholders. A shareholders agreement is a contract between some or all of the shareholders in a company. This nominee shareholder declaration of trust agreement details the basic obligations under which a nominee holds shares only for a beneficial owner. This agreement, dated agreement date is entered into amongst the following individuals constituting all of the current shareholders of corporation. It describes the operations of the company along with the obligations and rights of the shareholders.

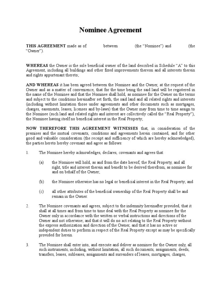
Shareholders Resolution For Appointment Of Nominee Director
Shareholders Resolution For Appointment Of Nominee Director from 1.bp.blogspot.com
Timcole is one of the leading company incorporation and accounting firm based in singapore. Party b and party c are nominee shareholders designated by party a for the company, who hold party a's as soon as practicable after the date of this agreement, but in no event later than february 28 nominee shareholders. This agreement, dated agreement date is entered into amongst the following individuals constituting all of the current shareholders of corporation. An agreement can provide for many eventualities including the financing of the company, the management of the. A shareholder's agreement is a contract between the company and its shareholders. When setting up a sample shareholder agreement s corp, it means complying with the corporate laws of the state where the articles of incorporation were filed.3 min read. Sample of our shareholders agreement:

Each shareholder may self nominate for directorship or elect a nominee for the position at every board of directors election.

For the directors or stakeholders. A nominee agreement, where one person consents to acting as a director, secretary or shareholder, generally consists of terms which accomplish the following: Some of the details which may be provided in this document include: Party b and party c are nominee shareholders designated by party a for the company, who hold party a's as soon as practicable after the date of this agreement, but in no event later than february 28 nominee shareholders. Sample of our shareholders agreement: Shareholders' agreements are often used as a safeguard and to give protection to shareholders, because (amongst other things) they can provide for what happens if 'things go wrong'. A nominee shareholder is the registered owner of shares within a company. Nominee agreement, nominee agreement form. At timcole, we provide service of acting as a nominee shareholder for you, dealt professionally with a signed declaration of trust. Whereas the shareholders, as of the date hereof, are the registered and bene cial owners of insert: This template shareholders agreement is a contract between shareholders (and the company), setting out the rights and obligations of the the shareholders agreement template is one of our most popular products. This shareholders agreement template has 11 pages and is a ms word file type listed under our legal agreements documents. This shareholder agreement embodies the entire representations, agreements and conditions in relation to the subject matter hereof and no representations, understandings or agreements, oral or. A beneficial owner may choose as part of the shareholding arrangements of a company to appoint a nominee as it does not wish its name to. This nominee shareholder agreement template covers the most important subjects and will help you to structure and communicate in a professional and legal way with the stakeholders involved, such as A shareholder's agreement is a contract between the company and its shareholders. Download nominee shareholder agreement for free. Total number of shares of the investors group the issued and outstanding shares in the. It describes the operations of the company along with the obligations and rights of the shareholders. Download a cleartax sample template. Agreement forms are widely used in a range of situations, such as when businessmen and landowners have to decide whether to rent, sell, or lease their properties. This nominee shareholder declaration of trust agreement details the basic obligations under which a nominee holds shares only for a beneficial owner. This agreement, dated agreement date is entered into amongst the following individuals constituting all of the current shareholders of corporation. The number of shares held by each shareholder. An agreement can provide for many eventualities including the financing of the company, the management of the. For the directors or stakeholders. We do not get involved in the running of your company and are on the companies house register in name only. Download this legal nominee shareholder agreement template now to find inspiration! / free 9+ shareholder agreement forms in pdf | ms word. Offers you this best practice for free! Posted on march 31, 2017 by law gyaan.

70 Agreement Templates Word Pdf Pages Free Premium Templates. When Setting Up A Sample Shareholder Agreement S Corp, It Means Complying With The Corporate Laws Of The State Where The Articles Of Incorporation Were Filed.3 Min Read.

Using Nominee Shareholders In Indonesia The Safe Way Emerhub. It describes the operations of the company along with the obligations and rights of the shareholders. All formats available for pc, mac, ebook download free printable shareholder agreement samples in pdf, word and excel formats. This shareholder agreement template is the perfect sample of how to outline how corporate shareholders will work with each other. This nominee shareholder declaration of trust agreement details the basic obligations under which a nominee holds shares only for a beneficial owner. Download nominee shareholder agreement for free. In many cases, the company is also a party to the agreement. Some of the details which may be provided in this document include: Each member of management, jointly and severally, covenants to the. A shareholders agreement is a contract between some or all of the shareholders in a company. This nominee shareholder agreement template covers the most important subjects and will help you to structure and communicate in a professional and legal way with the stakeholders involved, such as Download this legal nominee shareholder agreement template now to find inspiration! Party b and party c are nominee shareholders designated by party a for the company, who hold party a's as soon as practicable after the date of this agreement, but in no event later than february 28 nominee shareholders. This agreement, dated agreement date is entered into amongst the following individuals constituting all of the current shareholders of corporation. A beneficial owner may choose as part of the shareholding arrangements of a company to appoint a nominee as it does not wish its name to. A shareholder agreement which is also known as a shareholder loan agreement or a shareholder's agreement form is a contract made between the shareholders of a company.

Free First Shareholder Meeting Minutes Template Organization Meeting - This Agreement, Dated Agreement Date Is Entered Into Amongst The Following Individuals Constituting All Of The Current Shareholders Of Corporation.

Shareholders Agreement Template By Business In A Box. A shareholders agreement is a contract between some or all of the shareholders in a company. A beneficial owner may choose as part of the shareholding arrangements of a company to appoint a nominee as it does not wish its name to. Each member of management, jointly and severally, covenants to the. This agreement, dated agreement date is entered into amongst the following individuals constituting all of the current shareholders of corporation. Party b and party c are nominee shareholders designated by party a for the company, who hold party a's as soon as practicable after the date of this agreement, but in no event later than february 28 nominee shareholders. This shareholder agreement template is the perfect sample of how to outline how corporate shareholders will work with each other. This nominee shareholder agreement template covers the most important subjects and will help you to structure and communicate in a professional and legal way with the stakeholders involved, such as A shareholder agreement which is also known as a shareholder loan agreement or a shareholder's agreement form is a contract made between the shareholders of a company. All formats available for pc, mac, ebook download free printable shareholder agreement samples in pdf, word and excel formats. It describes the operations of the company along with the obligations and rights of the shareholders.

70 Agreement Templates Word Pdf Pages Free Premium Templates : At timcole, we provide service of acting as a nominee shareholder for you, dealt professionally with a signed declaration of trust.

Shareholders Agreement Template Free Download Splashsupport. This shareholder agreement template is the perfect sample of how to outline how corporate shareholders will work with each other. Download this legal nominee shareholder agreement template now to find inspiration! This nominee shareholder agreement template covers the most important subjects and will help you to structure and communicate in a professional and legal way with the stakeholders involved, such as It describes the operations of the company along with the obligations and rights of the shareholders. Each member of management, jointly and severally, covenants to the. Party b and party c are nominee shareholders designated by party a for the company, who hold party a's as soon as practicable after the date of this agreement, but in no event later than february 28 nominee shareholders. In many cases, the company is also a party to the agreement. This agreement, dated agreement date is entered into amongst the following individuals constituting all of the current shareholders of corporation. This nominee shareholder declaration of trust agreement details the basic obligations under which a nominee holds shares only for a beneficial owner. A shareholders agreement is a contract between some or all of the shareholders in a company. A shareholder agreement which is also known as a shareholder loan agreement or a shareholder's agreement form is a contract made between the shareholders of a company. A beneficial owner may choose as part of the shareholding arrangements of a company to appoint a nominee as it does not wish its name to. All formats available for pc, mac, ebook download free printable shareholder agreement samples in pdf, word and excel formats. Download nominee shareholder agreement for free. Some of the details which may be provided in this document include:

Free 13 Sample Shareholder Agreement Templates In Pdf Ms Word Google Docs Pages - An Agreement Can Provide For Many Eventualities Including The Financing Of The Company, The Management Of The.

Singapore Nominee Shareholder Services 3e Accounting Singapore. Each member of management, jointly and severally, covenants to the. In many cases, the company is also a party to the agreement. This agreement, dated agreement date is entered into amongst the following individuals constituting all of the current shareholders of corporation. Some of the details which may be provided in this document include: It describes the operations of the company along with the obligations and rights of the shareholders. Download nominee shareholder agreement for free. This nominee shareholder agreement template covers the most important subjects and will help you to structure and communicate in a professional and legal way with the stakeholders involved, such as A shareholders agreement is a contract between some or all of the shareholders in a company. Party b and party c are nominee shareholders designated by party a for the company, who hold party a's as soon as practicable after the date of this agreement, but in no event later than february 28 nominee shareholders. A shareholder agreement which is also known as a shareholder loan agreement or a shareholder's agreement form is a contract made between the shareholders of a company. All formats available for pc, mac, ebook download free printable shareholder agreement samples in pdf, word and excel formats. This shareholder agreement template is the perfect sample of how to outline how corporate shareholders will work with each other. Download this legal nominee shareholder agreement template now to find inspiration! This nominee shareholder declaration of trust agreement details the basic obligations under which a nominee holds shares only for a beneficial owner. A beneficial owner may choose as part of the shareholding arrangements of a company to appoint a nominee as it does not wish its name to.

Appointing A Nominee Shareholder Timcole Accounting - A Nominee Shareholder Is A Company Created For Holding Shares On Behalf Of Investors.

Shareholders Agreement For An Australian Company Template Sample. This nominee shareholder agreement template covers the most important subjects and will help you to structure and communicate in a professional and legal way with the stakeholders involved, such as Party b and party c are nominee shareholders designated by party a for the company, who hold party a's as soon as practicable after the date of this agreement, but in no event later than february 28 nominee shareholders. Each member of management, jointly and severally, covenants to the. Some of the details which may be provided in this document include: A beneficial owner may choose as part of the shareholding arrangements of a company to appoint a nominee as it does not wish its name to. This nominee shareholder declaration of trust agreement details the basic obligations under which a nominee holds shares only for a beneficial owner. This shareholder agreement template is the perfect sample of how to outline how corporate shareholders will work with each other. This agreement, dated agreement date is entered into amongst the following individuals constituting all of the current shareholders of corporation. Download nominee shareholder agreement for free. It describes the operations of the company along with the obligations and rights of the shareholders. A shareholder agreement which is also known as a shareholder loan agreement or a shareholder's agreement form is a contract made between the shareholders of a company. In many cases, the company is also a party to the agreement. Download this legal nominee shareholder agreement template now to find inspiration! All formats available for pc, mac, ebook download free printable shareholder agreement samples in pdf, word and excel formats. A shareholders agreement is a contract between some or all of the shareholders in a company.

32 Sample Investment Agreement Templates In Pdf Ms Word - The Number Of Shares Held By Each Shareholder.

Free First Shareholder Meeting Minutes Template Organization Meeting. A beneficial owner may choose as part of the shareholding arrangements of a company to appoint a nominee as it does not wish its name to. Some of the details which may be provided in this document include: A shareholder agreement which is also known as a shareholder loan agreement or a shareholder's agreement form is a contract made between the shareholders of a company. This nominee shareholder agreement template covers the most important subjects and will help you to structure and communicate in a professional and legal way with the stakeholders involved, such as Party b and party c are nominee shareholders designated by party a for the company, who hold party a's as soon as practicable after the date of this agreement, but in no event later than february 28 nominee shareholders. Each member of management, jointly and severally, covenants to the. This shareholder agreement template is the perfect sample of how to outline how corporate shareholders will work with each other. All formats available for pc, mac, ebook download free printable shareholder agreement samples in pdf, word and excel formats. Download nominee shareholder agreement for free. Download this legal nominee shareholder agreement template now to find inspiration! This agreement, dated agreement date is entered into amongst the following individuals constituting all of the current shareholders of corporation. This nominee shareholder declaration of trust agreement details the basic obligations under which a nominee holds shares only for a beneficial owner. A shareholders agreement is a contract between some or all of the shareholders in a company. It describes the operations of the company along with the obligations and rights of the shareholders. In many cases, the company is also a party to the agreement.

Nominee Local Resident Shareholder Service In Singapore Achibiz : This Nominee Shareholder Declaration Of Trust Agreement Details The Basic Obligations Under Which A Nominee Holds Shares Only For A Beneficial Owner.

Sample Unanimous Shareholder Agreement Free Download. Download nominee shareholder agreement for free. A shareholders agreement is a contract between some or all of the shareholders in a company. This shareholder agreement template is the perfect sample of how to outline how corporate shareholders will work with each other. All formats available for pc, mac, ebook download free printable shareholder agreement samples in pdf, word and excel formats. Some of the details which may be provided in this document include: This agreement, dated agreement date is entered into amongst the following individuals constituting all of the current shareholders of corporation. This nominee shareholder agreement template covers the most important subjects and will help you to structure and communicate in a professional and legal way with the stakeholders involved, such as A beneficial owner may choose as part of the shareholding arrangements of a company to appoint a nominee as it does not wish its name to. Each member of management, jointly and severally, covenants to the. This nominee shareholder declaration of trust agreement details the basic obligations under which a nominee holds shares only for a beneficial owner. A shareholder agreement which is also known as a shareholder loan agreement or a shareholder's agreement form is a contract made between the shareholders of a company. Download this legal nominee shareholder agreement template now to find inspiration! In many cases, the company is also a party to the agreement. Party b and party c are nominee shareholders designated by party a for the company, who hold party a's as soon as practicable after the date of this agreement, but in no event later than february 28 nominee shareholders. It describes the operations of the company along with the obligations and rights of the shareholders.

50 Best Shareholder Agreement Templates Samples Á… Templatelab . This Shareholders Agreement Template Has 11 Pages And Is A Ms Word File Type Listed Under Our Legal Agreements Documents.

Panama Offshore Zones Offshore And International Law Gsl. This nominee shareholder agreement template covers the most important subjects and will help you to structure and communicate in a professional and legal way with the stakeholders involved, such as All formats available for pc, mac, ebook download free printable shareholder agreement samples in pdf, word and excel formats. Each member of management, jointly and severally, covenants to the. A beneficial owner may choose as part of the shareholding arrangements of a company to appoint a nominee as it does not wish its name to. A shareholders agreement is a contract between some or all of the shareholders in a company. This shareholder agreement template is the perfect sample of how to outline how corporate shareholders will work with each other. This nominee shareholder declaration of trust agreement details the basic obligations under which a nominee holds shares only for a beneficial owner. It describes the operations of the company along with the obligations and rights of the shareholders. In many cases, the company is also a party to the agreement. Download this legal nominee shareholder agreement template now to find inspiration! Download nominee shareholder agreement for free. This agreement, dated agreement date is entered into amongst the following individuals constituting all of the current shareholders of corporation. Party b and party c are nominee shareholders designated by party a for the company, who hold party a's as soon as practicable after the date of this agreement, but in no event later than february 28 nominee shareholders. A shareholder agreement which is also known as a shareholder loan agreement or a shareholder's agreement form is a contract made between the shareholders of a company. Some of the details which may be provided in this document include:

Shareholders Agreement Contract 2 Parties With 50 Shares . A Shareholders Agreement Is A Contract Between Some Or All Of The Shareholders In A Company.

Doc Nominee Directors Corporate Governance Philip Tn Koh Academia Edu. Download this legal nominee shareholder agreement template now to find inspiration! A shareholders agreement is a contract between some or all of the shareholders in a company. Each member of management, jointly and severally, covenants to the. This nominee shareholder declaration of trust agreement details the basic obligations under which a nominee holds shares only for a beneficial owner. In many cases, the company is also a party to the agreement. This shareholder agreement template is the perfect sample of how to outline how corporate shareholders will work with each other. A beneficial owner may choose as part of the shareholding arrangements of a company to appoint a nominee as it does not wish its name to. Party b and party c are nominee shareholders designated by party a for the company, who hold party a's as soon as practicable after the date of this agreement, but in no event later than february 28 nominee shareholders. All formats available for pc, mac, ebook download free printable shareholder agreement samples in pdf, word and excel formats. It describes the operations of the company along with the obligations and rights of the shareholders. Some of the details which may be provided in this document include: Download nominee shareholder agreement for free. This nominee shareholder agreement template covers the most important subjects and will help you to structure and communicate in a professional and legal way with the stakeholders involved, such as A shareholder agreement which is also known as a shareholder loan agreement or a shareholder's agreement form is a contract made between the shareholders of a company. This agreement, dated agreement date is entered into amongst the following individuals constituting all of the current shareholders of corporation.

Nominee Director Agreement Board Of Directors Corporate Law : This Template Shareholders Agreement Is A Contract Between Shareholders (And The Company), Setting Out The Rights And Obligations Of The The Shareholders Agreement Template Is One Of Our Most Popular Products.

32 Sample Investment Agreement Templates In Pdf Ms Word. Download this legal nominee shareholder agreement template now to find inspiration! Some of the details which may be provided in this document include: This nominee shareholder agreement template covers the most important subjects and will help you to structure and communicate in a professional and legal way with the stakeholders involved, such as All formats available for pc, mac, ebook download free printable shareholder agreement samples in pdf, word and excel formats. Download nominee shareholder agreement for free. This shareholder agreement template is the perfect sample of how to outline how corporate shareholders will work with each other. In many cases, the company is also a party to the agreement. This agreement, dated agreement date is entered into amongst the following individuals constituting all of the current shareholders of corporation. It describes the operations of the company along with the obligations and rights of the shareholders. A shareholder agreement which is also known as a shareholder loan agreement or a shareholder's agreement form is a contract made between the shareholders of a company. Party b and party c are nominee shareholders designated by party a for the company, who hold party a's as soon as practicable after the date of this agreement, but in no event later than february 28 nominee shareholders. A beneficial owner may choose as part of the shareholding arrangements of a company to appoint a nominee as it does not wish its name to. Each member of management, jointly and severally, covenants to the. A shareholders agreement is a contract between some or all of the shareholders in a company. This nominee shareholder declaration of trust agreement details the basic obligations under which a nominee holds shares only for a beneficial owner.