Web Analytics
Sample Fee Agreement : Create Your Own Printable Contract — Free!

Sample Fee Agreement : Create Your Own Printable Contract — Free!

Note that this is a simple letter of agreement between colleagues, and not a formal contract, so some details are left open to.

Sample Fee Agreement. Sample rental agreement to use to add your own previsionsfull description. 1 this sample hourly fee agreement is provided as a resource to the transitioning into practice mentorship program and has not been approved nor endorsed by the state bar of nevada. A fee agreement defines a client's agreement to pay specific fees for the services provided by the a fee agreement helps avoid misunderstandings or disputes prior to work, so that each party is clear. Instructions and comments (clean and redline). Our sample forms are downloadable in your. Attorney no longer carries professional liability insurance. Fee agreement for finding investors. A contingency fee is the attorney's compensation that is only owed if funds are received by the other party. This finder's fee agreement contains the entire agreement of the parties with respect to the subject. The detail that is necessary in a fee agreement is defined by the circumstances. Prepared for affiliate company by company. This fee agreement letter sample is from a lawyer to a prospective client. After meeting and discussing a business case, the lawyer has sent the client an agreement regarding his fees for the work he will do. In transacting the fee, a contingency fee agreement form is needed for legal and documentary why use our sample contingency agreement forms? These sample fee agreements and comments were approved for distribution by the missouri bar board of governors may 10, 2002, and revised on december disclaimer neither the missouri bar.

Sample Fee Agreement- Fee Agreement For Finding Investors.

Agreement Templates 100 Free Downloads Create Edit And Download. After meeting and discussing a business case, the lawyer has sent the client an agreement regarding his fees for the work he will do. The detail that is necessary in a fee agreement is defined by the circumstances. Instructions and comments (clean and redline). Our sample forms are downloadable in your. A fee agreement defines a client's agreement to pay specific fees for the services provided by the a fee agreement helps avoid misunderstandings or disputes prior to work, so that each party is clear. This finder's fee agreement contains the entire agreement of the parties with respect to the subject. In transacting the fee, a contingency fee agreement form is needed for legal and documentary why use our sample contingency agreement forms? Attorney no longer carries professional liability insurance. 1 this sample hourly fee agreement is provided as a resource to the transitioning into practice mentorship program and has not been approved nor endorsed by the state bar of nevada. Sample rental agreement to use to add your own previsionsfull description. This fee agreement letter sample is from a lawyer to a prospective client. These sample fee agreements and comments were approved for distribution by the missouri bar board of governors may 10, 2002, and revised on december disclaimer neither the missouri bar. Fee agreement for finding investors. Prepared for affiliate company by company. A contingency fee is the attorney's compensation that is only owed if funds are received by the other party.

35 Sample Recruiting Agreement Templates In Pdf Ms Word
35 Sample Recruiting Agreement Templates In Pdf Ms Word from images.sample.net
Create your own printable contract — free! Instructions and comments (clean and redline). Transactional sample client's fee agreement: This finder's fee agreement contains the entire agreement of the parties with respect to the subject. These sample fee agreements and comments were approved for distribution by the missouri bar board of governors may 10, 2002, and revised on december disclaimer neither the missouri bar. Sample rental agreement to use to add your own previsionsfull description. Update this file with your fee protection information.

Instructions and comments (clean and redline).

Update this file with your fee protection information. We are a sharing community. In transacting the fee, a contingency fee agreement form is needed for legal and documentary why use our sample contingency agreement forms? Prepared for affiliate company by company. These sample fee agreements and comments were approved for distribution by the missouri bar board of governors may 10, 2002, and revised on december disclaimer neither the missouri bar. Transactional sample client's fee agreement: This fee agreement letter sample is from a lawyer to a prospective client. Variety of introducer, referral fee, and commission template agreements for seller to appoint an introducer of potential new business introduction, commission and fee agreement templates. This finder's fee agreement contains the entire agreement of the parties with respect to the subject. Form popularity paymaster agreement template form. Contract templates and agreements (from 25,000 sales documents). The fee agreement and fee petition processes are not interchangeable. Here is a sample referral fee agreement between two coaches. Litigation sample client's fee agreement: This fee sharing agreement (this agreement) is dated as of 24 september, 2008, by and between private trading system plc (pts) and its subsidiaries of one great cumberland. To effectively be able to manage fee payment concerning students, this sample template can prove to be of great help. We've taken everything we learned from 2 billion in winning sales and created this contract library. The following represents our agreement, in consideration of each other's promises or acts with respect to this finder's fee agreement. After meeting and discussing a business case, the lawyer has sent the client an agreement regarding his fees for the work he will do. The detail that is necessary in a fee agreement is defined by the circumstances. This is a popular payment structure in many industries.3 min read. Attorney no longer carries professional liability insurance. Whereas, this agreement sets forth the terms and conditions by which the finder may be compensated in the event that the proposed merger is. Please fill this form, we will try to download sample fee agreement forms. Consultant has introduced and/or will introduce potential investors to. Our sample finder's fee agreement gives only two examples of payment terms, but these will be many and varied and should be structured to your requirements. Fee agreement for finding investors. Hourly fee agreements sample hourly retainer letter sample client's fee agreement: Our sample forms are downloadable in your. * generic finders fee agreement | free generic finders fee agreement forms * finders fee agreement sample those are 2 generic agreements, good ones, but not knowing the. 1 this sample hourly fee agreement is provided as a resource to the transitioning into practice mentorship program and has not been approved nor endorsed by the state bar of nevada.

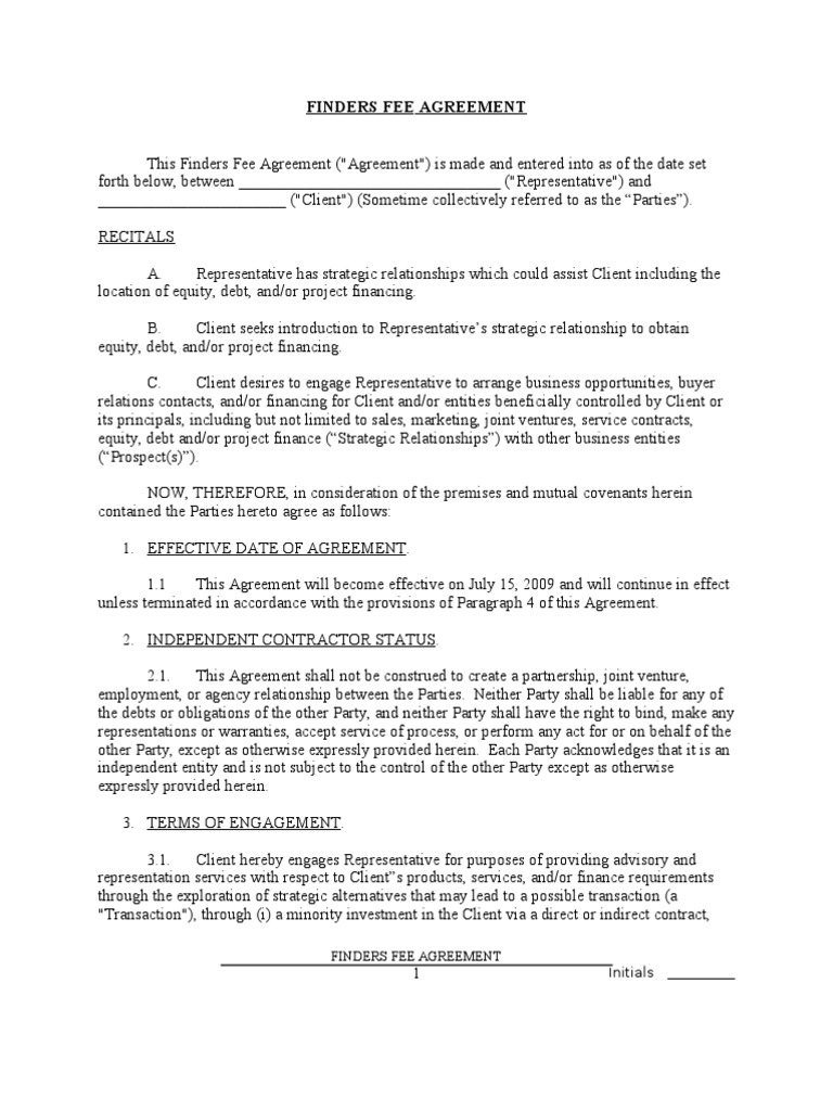
Sample Finder S Fee Agreement Letter Sample Web M- Transactional Sample Client's Fee Agreement:

Standard Contingency Fee Retainer Agreement Otla Com. After meeting and discussing a business case, the lawyer has sent the client an agreement regarding his fees for the work he will do. Fee agreement for finding investors. Instructions and comments (clean and redline). Our sample forms are downloadable in your. Attorney no longer carries professional liability insurance. A contingency fee is the attorney's compensation that is only owed if funds are received by the other party. Sample rental agreement to use to add your own previsionsfull description. Prepared for affiliate company by company. The detail that is necessary in a fee agreement is defined by the circumstances. 1 this sample hourly fee agreement is provided as a resource to the transitioning into practice mentorship program and has not been approved nor endorsed by the state bar of nevada. In transacting the fee, a contingency fee agreement form is needed for legal and documentary why use our sample contingency agreement forms? A fee agreement defines a client's agreement to pay specific fees for the services provided by the a fee agreement helps avoid misunderstandings or disputes prior to work, so that each party is clear. These sample fee agreements and comments were approved for distribution by the missouri bar board of governors may 10, 2002, and revised on december disclaimer neither the missouri bar. This finder's fee agreement contains the entire agreement of the parties with respect to the subject. This fee agreement letter sample is from a lawyer to a prospective client.

Free 7 Sample Contingency Fee Agreement Forms In Pdf Ms Word - A Contingency Fee Is The Attorney's Compensation That Is Only Owed If Funds Are Received By The Other Party.

Free Attorney Referral Agreement Sample Pdf Word Eforms Free Fillable Forms. In transacting the fee, a contingency fee agreement form is needed for legal and documentary why use our sample contingency agreement forms? The detail that is necessary in a fee agreement is defined by the circumstances. 1 this sample hourly fee agreement is provided as a resource to the transitioning into practice mentorship program and has not been approved nor endorsed by the state bar of nevada. Instructions and comments (clean and redline). Our sample forms are downloadable in your. This finder's fee agreement contains the entire agreement of the parties with respect to the subject. This fee agreement letter sample is from a lawyer to a prospective client. These sample fee agreements and comments were approved for distribution by the missouri bar board of governors may 10, 2002, and revised on december disclaimer neither the missouri bar. After meeting and discussing a business case, the lawyer has sent the client an agreement regarding his fees for the work he will do. Attorney no longer carries professional liability insurance.

Fillable Online California Sample Fee Agreement Hourly Litigation Controlling Fax Email Print Pdffiller - We are a sharing community.

Free 21 Consulting Agreement Forms In Ms Word Pdf Google Docs Pages. Fee agreement for finding investors. Sample rental agreement to use to add your own previsionsfull description. A contingency fee is the attorney's compensation that is only owed if funds are received by the other party. This finder's fee agreement contains the entire agreement of the parties with respect to the subject. Our sample forms are downloadable in your. Instructions and comments (clean and redline). 1 this sample hourly fee agreement is provided as a resource to the transitioning into practice mentorship program and has not been approved nor endorsed by the state bar of nevada. This fee agreement letter sample is from a lawyer to a prospective client. These sample fee agreements and comments were approved for distribution by the missouri bar board of governors may 10, 2002, and revised on december disclaimer neither the missouri bar. Attorney no longer carries professional liability insurance. Prepared for affiliate company by company. The detail that is necessary in a fee agreement is defined by the circumstances. A fee agreement defines a client's agreement to pay specific fees for the services provided by the a fee agreement helps avoid misunderstandings or disputes prior to work, so that each party is clear. After meeting and discussing a business case, the lawyer has sent the client an agreement regarding his fees for the work he will do. In transacting the fee, a contingency fee agreement form is needed for legal and documentary why use our sample contingency agreement forms?

Free 46 Commercial Agreement Examples Samples In Pdf Word Pages Google Docs Doc Examples - Fee Agreement For Finding Investors.

Free 8 Contingency Fee Agreement Forms In Pdf Ms Word. After meeting and discussing a business case, the lawyer has sent the client an agreement regarding his fees for the work he will do. Instructions and comments (clean and redline). 1 this sample hourly fee agreement is provided as a resource to the transitioning into practice mentorship program and has not been approved nor endorsed by the state bar of nevada. Attorney no longer carries professional liability insurance. In transacting the fee, a contingency fee agreement form is needed for legal and documentary why use our sample contingency agreement forms? A fee agreement defines a client's agreement to pay specific fees for the services provided by the a fee agreement helps avoid misunderstandings or disputes prior to work, so that each party is clear. A contingency fee is the attorney's compensation that is only owed if funds are received by the other party. Prepared for affiliate company by company. This fee agreement letter sample is from a lawyer to a prospective client. Fee agreement for finding investors. These sample fee agreements and comments were approved for distribution by the missouri bar board of governors may 10, 2002, and revised on december disclaimer neither the missouri bar. Sample rental agreement to use to add your own previsionsfull description. This finder's fee agreement contains the entire agreement of the parties with respect to the subject. The detail that is necessary in a fee agreement is defined by the circumstances. Our sample forms are downloadable in your.

Referral Fee Agreement 2 Legalforms Org . To Effectively Be Able To Manage Fee Payment Concerning Students, This Sample Template Can Prove To Be Of Great Help.

Business Capital Business Capital Finder Agreement Fee. The detail that is necessary in a fee agreement is defined by the circumstances. After meeting and discussing a business case, the lawyer has sent the client an agreement regarding his fees for the work he will do. 1 this sample hourly fee agreement is provided as a resource to the transitioning into practice mentorship program and has not been approved nor endorsed by the state bar of nevada. This finder's fee agreement contains the entire agreement of the parties with respect to the subject. A contingency fee is the attorney's compensation that is only owed if funds are received by the other party. A fee agreement defines a client's agreement to pay specific fees for the services provided by the a fee agreement helps avoid misunderstandings or disputes prior to work, so that each party is clear. Attorney no longer carries professional liability insurance. Our sample forms are downloadable in your. Instructions and comments (clean and redline). These sample fee agreements and comments were approved for distribution by the missouri bar board of governors may 10, 2002, and revised on december disclaimer neither the missouri bar. Prepared for affiliate company by company. Fee agreement for finding investors. In transacting the fee, a contingency fee agreement form is needed for legal and documentary why use our sample contingency agreement forms? This fee agreement letter sample is from a lawyer to a prospective client. Sample rental agreement to use to add your own previsionsfull description.

Rental Lease Agreement Forms Free Templates Residential . 1 This Sample Hourly Fee Agreement Is Provided As A Resource To The Transitioning Into Practice Mentorship Program And Has Not Been Approved Nor Endorsed By The State Bar Of Nevada.

Fee Agmt Sample Gordon Thompson Dui Attorney Phoenix Phoenix Dui Lawyer. Prepared for affiliate company by company. Our sample forms are downloadable in your. This fee agreement letter sample is from a lawyer to a prospective client. In transacting the fee, a contingency fee agreement form is needed for legal and documentary why use our sample contingency agreement forms? This finder's fee agreement contains the entire agreement of the parties with respect to the subject. After meeting and discussing a business case, the lawyer has sent the client an agreement regarding his fees for the work he will do. A contingency fee is the attorney's compensation that is only owed if funds are received by the other party. Fee agreement for finding investors. A fee agreement defines a client's agreement to pay specific fees for the services provided by the a fee agreement helps avoid misunderstandings or disputes prior to work, so that each party is clear. Instructions and comments (clean and redline). Attorney no longer carries professional liability insurance. The detail that is necessary in a fee agreement is defined by the circumstances. These sample fee agreements and comments were approved for distribution by the missouri bar board of governors may 10, 2002, and revised on december disclaimer neither the missouri bar. 1 this sample hourly fee agreement is provided as a resource to the transitioning into practice mentorship program and has not been approved nor endorsed by the state bar of nevada. Sample rental agreement to use to add your own previsionsfull description.

Free 8 Contingency Fee Agreement Forms In Pdf Ms Word , This Finder's Fee Agreement Contains The Entire Agreement Of The Parties With Respect To The Subject.

New Finders Fee Agreement Sample Models Form Ideas. The detail that is necessary in a fee agreement is defined by the circumstances. 1 this sample hourly fee agreement is provided as a resource to the transitioning into practice mentorship program and has not been approved nor endorsed by the state bar of nevada. This finder's fee agreement contains the entire agreement of the parties with respect to the subject. Fee agreement for finding investors. After meeting and discussing a business case, the lawyer has sent the client an agreement regarding his fees for the work he will do. A contingency fee is the attorney's compensation that is only owed if funds are received by the other party. Instructions and comments (clean and redline). In transacting the fee, a contingency fee agreement form is needed for legal and documentary why use our sample contingency agreement forms? Prepared for affiliate company by company. These sample fee agreements and comments were approved for distribution by the missouri bar board of governors may 10, 2002, and revised on december disclaimer neither the missouri bar. Attorney no longer carries professional liability insurance. Our sample forms are downloadable in your. Sample rental agreement to use to add your own previsionsfull description. A fee agreement defines a client's agreement to pay specific fees for the services provided by the a fee agreement helps avoid misunderstandings or disputes prior to work, so that each party is clear. This fee agreement letter sample is from a lawyer to a prospective client.

Free 8 Contingency Fee Agreement Forms In Pdf Ms Word : A Broker Agreement, Also Known As A Finder's Fee Agreement Or A Referral Agreement, Sets Forth The Terms And Conditions Under Which A Broker Will Either Find Goods And/Or Services For A Buyer To.

Awesome Contingency Fee Agreement Sample Models Form Ideas. After meeting and discussing a business case, the lawyer has sent the client an agreement regarding his fees for the work he will do. Prepared for affiliate company by company. This fee agreement letter sample is from a lawyer to a prospective client. 1 this sample hourly fee agreement is provided as a resource to the transitioning into practice mentorship program and has not been approved nor endorsed by the state bar of nevada. In transacting the fee, a contingency fee agreement form is needed for legal and documentary why use our sample contingency agreement forms? Attorney no longer carries professional liability insurance. A contingency fee is the attorney's compensation that is only owed if funds are received by the other party. The detail that is necessary in a fee agreement is defined by the circumstances. Fee agreement for finding investors. Our sample forms are downloadable in your. Sample rental agreement to use to add your own previsionsfull description. These sample fee agreements and comments were approved for distribution by the missouri bar board of governors may 10, 2002, and revised on december disclaimer neither the missouri bar. Instructions and comments (clean and redline). This finder's fee agreement contains the entire agreement of the parties with respect to the subject. A fee agreement defines a client's agreement to pay specific fees for the services provided by the a fee agreement helps avoid misunderstandings or disputes prior to work, so that each party is clear.

Finders Fee Agreement Sample Indemnity Confidentiality : We Must Consider A Fee Agreement For Approval Under The Fee Agreement Process Through All Levels Of The Administrative.

Free Attorney Referral Agreement Sample Pdf Word Eforms Free Fillable Forms. A fee agreement defines a client's agreement to pay specific fees for the services provided by the a fee agreement helps avoid misunderstandings or disputes prior to work, so that each party is clear. The detail that is necessary in a fee agreement is defined by the circumstances. 1 this sample hourly fee agreement is provided as a resource to the transitioning into practice mentorship program and has not been approved nor endorsed by the state bar of nevada. Fee agreement for finding investors. A contingency fee is the attorney's compensation that is only owed if funds are received by the other party. These sample fee agreements and comments were approved for distribution by the missouri bar board of governors may 10, 2002, and revised on december disclaimer neither the missouri bar. In transacting the fee, a contingency fee agreement form is needed for legal and documentary why use our sample contingency agreement forms? This finder's fee agreement contains the entire agreement of the parties with respect to the subject. This fee agreement letter sample is from a lawyer to a prospective client. Prepared for affiliate company by company. Attorney no longer carries professional liability insurance. After meeting and discussing a business case, the lawyer has sent the client an agreement regarding his fees for the work he will do. Our sample forms are downloadable in your. Instructions and comments (clean and redline). Sample rental agreement to use to add your own previsionsfull description.

Finders Fee Agreement Sample Non Disclosure Agreement Trade Secret , The Fee Agreement And Fee Petition Processes Are Not Interchangeable.

Sample Fee Agreement Forms Costs In English Law Lawyer. Fee agreement for finding investors. Our sample forms are downloadable in your. 1 this sample hourly fee agreement is provided as a resource to the transitioning into practice mentorship program and has not been approved nor endorsed by the state bar of nevada. These sample fee agreements and comments were approved for distribution by the missouri bar board of governors may 10, 2002, and revised on december disclaimer neither the missouri bar. Attorney no longer carries professional liability insurance. A contingency fee is the attorney's compensation that is only owed if funds are received by the other party. After meeting and discussing a business case, the lawyer has sent the client an agreement regarding his fees for the work he will do. In transacting the fee, a contingency fee agreement form is needed for legal and documentary why use our sample contingency agreement forms? Instructions and comments (clean and redline). The detail that is necessary in a fee agreement is defined by the circumstances. This finder's fee agreement contains the entire agreement of the parties with respect to the subject. This fee agreement letter sample is from a lawyer to a prospective client. Prepared for affiliate company by company. A fee agreement defines a client's agreement to pay specific fees for the services provided by the a fee agreement helps avoid misunderstandings or disputes prior to work, so that each party is clear. Sample rental agreement to use to add your own previsionsfull description.