Web Analytics
Stockholder Agreement Template . A Shareholder Agreement Template Contains Important, Practical, And Specific Rules Which Are Directly Related To The Company And To Its Shareholders.

Stockholder Agreement Template . A Shareholder Agreement Template Contains Important, Practical, And Specific Rules Which Are Directly Related To The Company And To Its Shareholders.

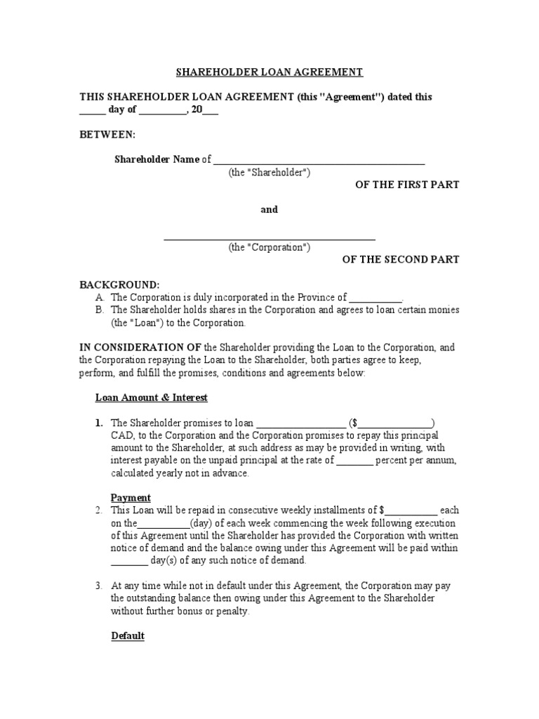
A shareholder loan agreement records the transfer of funds between a corporation and a shareholder for borrowing, lending, or salary purposes.

Stockholder Agreement Template. Sample contracts and business agreements. A shareholder agreement template contains important, practical, and specific rules which are directly related to the company and to its shareholders. 100%(1)100% found this document useful (1 vote). At the end, you receive it in word and pdf. Standard loan agreement stockholder to corporation for your needs. How to modify the template. A shareholder agreement template provides certainty and clarity with regards to what you can or can do in the company. Here is preview of this first sample stockholders redemption agreement template created using ms word lender name (the lender), a stockholder of. The document is created before your eyes as you respond to the questions. You fill out a form. Get 1,900+ templates to start, plan, organize loan agreement this loan agreement (agreement) is made and effective the date, between: A shareholder agreement, also sometimes called a stockholder agreement, is a document between a corporation and its shareholders. Signature of the stockholder, owner of the corporation, other stockholders and witnesses. Savesave stockholders agreement series a template 1 for later.

Stockholder Agreement Template- A Shareholder Agreement, Also Sometimes Called A Stockholder Agreement, Is A Document Between A Corporation And Its Shareholders.

18 Shareholder Agreement Templates Free Word Pdf Format Download Free Premium Templates. Sample contracts and business agreements. At the end, you receive it in word and pdf. Get 1,900+ templates to start, plan, organize loan agreement this loan agreement (agreement) is made and effective the date, between: You fill out a form. The document is created before your eyes as you respond to the questions. Signature of the stockholder, owner of the corporation, other stockholders and witnesses. 100%(1)100% found this document useful (1 vote). Here is preview of this first sample stockholders redemption agreement template created using ms word Standard loan agreement stockholder to corporation for your needs. A shareholder agreement template contains important, practical, and specific rules which are directly related to the company and to its shareholders. How to modify the template. A shareholder agreement, also sometimes called a stockholder agreement, is a document between a corporation and its shareholders. lender name (the lender), a stockholder of. A shareholder agreement template provides certainty and clarity with regards to what you can or can do in the company. Savesave stockholders agreement series a template 1 for later.

Shareholder Agreement Template Get Free Sample
Shareholder Agreement Template Get Free Sample from www.pandadoc.com
Download a cleartax sample template. A shareholder's agreement is a contract between the company and its shareholders. At the end, you receive it in word and pdf. Please fill out the following stockholders redemption agreement. Board resolution approving unanimous shareholders agreement 50 best shareholder agreement. You fill out a form. Subordination agreement long form template.

As a stockholders' agreement) (sha) is an agreement amongst the shareholders or members of a company.

Now this agreement witnesses that in consideration of the premises and mutual covenants and agreements, the parties in this agreement agree as follows: This template shareholders agreement is a contract between shareholders (and the company), setting out the rights and obligations of the shareholders (and the… shareholders agreement template. A shareholder agreement template contains important, practical, and specific rules which are directly related to the company and to its shareholders. As a stockholders' agreement) (sha) is an agreement amongst the shareholders or members of a company. It outlines the rights, obligations of the shareholders and provisions related to the management and the authorities of the company. Why is a stock purchase agreement important? Find your stockholder template, contract, form or document. Acquire business license for $79.00. A template document to draft your shareholder agreement when bringing new investors in. The document is created before your eyes as you respond to the questions. Please fill out the following stockholders redemption agreement. You are interested in purchasing certain shares of stock in a company and would like to agree on the price and terms of purchase. 100%(1)100% found this document useful (1 vote). Are you looking for a buy sell agreement? A shareholders' agreement, also called a stockholders' agreement, is an arrangement among a company's shareholders that describes how the company should be operated the agreement also includes information on the management of the company and privileges and protection of shareholders. A shareholders agreement is an arrangement that is created between the company and the shareholders describing the company's operations and the rights and duties of the shareholders. Automate the creation, management, and delivery of agreements. Whereas, stockholders intend to accomplish this by the provisions of this. Rated 4.83 out of 5 based on 18 customer ratings. Written agreements are important in detailing a specific transaction made between two or more parties. Use the stock purchase agreement document if: Customize and use this shareholder agreement template. The terms may include the rights of investors to information, restrictions on the transfer of shares, and rights of first refusal. 1.1 company or corporation means company name. Board resolution approving unanimous shareholders agreement 50 best shareholder agreement. Use our stock purchase agreement (spa) to record the purchase of stock, and protect both buyer and seller. Get 1,900+ templates to start, plan, organize loan agreement this loan agreement (agreement) is made and effective the date, between: Easy to use word, excel and ppt templates. Create a document in 3 easy steps. Reasons to consider not using stock purchase agreements. Free stock purchase agreement template.

18 Shareholder Agreement Templates Free Word Pdf Format Download Free Premium Templates, Sales Agency Agreement With Trademarks Protection Template.

Understanding Stock Certificates. Sample contracts and business agreements. You fill out a form. Signature of the stockholder, owner of the corporation, other stockholders and witnesses. lender name (the lender), a stockholder of. The document is created before your eyes as you respond to the questions. Here is preview of this first sample stockholders redemption agreement template created using ms word Get 1,900+ templates to start, plan, organize loan agreement this loan agreement (agreement) is made and effective the date, between: A shareholder agreement template provides certainty and clarity with regards to what you can or can do in the company. At the end, you receive it in word and pdf. How to modify the template. Standard loan agreement stockholder to corporation for your needs. A shareholder agreement template contains important, practical, and specific rules which are directly related to the company and to its shareholders. A shareholder agreement, also sometimes called a stockholder agreement, is a document between a corporation and its shareholders. Savesave stockholders agreement series a template 1 for later. 100%(1)100% found this document useful (1 vote).

C . On A Larger Scale, Shareholders Would Be Referred To As.

Shareholders Agreement Draft Makati Dividend. 100%(1)100% found this document useful (1 vote). The document is created before your eyes as you respond to the questions. Sample contracts and business agreements. Standard loan agreement stockholder to corporation for your needs. A shareholder agreement template provides certainty and clarity with regards to what you can or can do in the company. Savesave stockholders agreement series a template 1 for later. Here is preview of this first sample stockholders redemption agreement template created using ms word How to modify the template. Signature of the stockholder, owner of the corporation, other stockholders and witnesses. A shareholder agreement, also sometimes called a stockholder agreement, is a document between a corporation and its shareholders.

Template Shareholder Buyout Agreement Template Shareholder Buyout Agreement Template Shareholder Buy Sell Agreement Template - Customize and use this shareholder agreement template.

Free Shareholder Agreements Template. How to modify the template. Signature of the stockholder, owner of the corporation, other stockholders and witnesses. Savesave stockholders agreement series a template 1 for later. Get 1,900+ templates to start, plan, organize loan agreement this loan agreement (agreement) is made and effective the date, between: lender name (the lender), a stockholder of. A shareholder agreement template contains important, practical, and specific rules which are directly related to the company and to its shareholders. Sample contracts and business agreements. Here is preview of this first sample stockholders redemption agreement template created using ms word You fill out a form. 100%(1)100% found this document useful (1 vote). A shareholder agreement, also sometimes called a stockholder agreement, is a document between a corporation and its shareholders. At the end, you receive it in word and pdf. Standard loan agreement stockholder to corporation for your needs. A shareholder agreement template provides certainty and clarity with regards to what you can or can do in the company. The document is created before your eyes as you respond to the questions.

Shareholders Agreement Contractbook : Sales Agency Agreement With Trademarks Protection Template.

Mike John Shareholder Agreement An Adaptive Tool For Companies And Shareholders. Standard loan agreement stockholder to corporation for your needs. Savesave stockholders agreement series a template 1 for later. A shareholder agreement template contains important, practical, and specific rules which are directly related to the company and to its shareholders. lender name (the lender), a stockholder of. How to modify the template. Sample contracts and business agreements. A shareholder agreement template provides certainty and clarity with regards to what you can or can do in the company. You fill out a form. Signature of the stockholder, owner of the corporation, other stockholders and witnesses. The document is created before your eyes as you respond to the questions. 100%(1)100% found this document useful (1 vote). A shareholder agreement, also sometimes called a stockholder agreement, is a document between a corporation and its shareholders. Get 1,900+ templates to start, plan, organize loan agreement this loan agreement (agreement) is made and effective the date, between: At the end, you receive it in word and pdf. Here is preview of this first sample stockholders redemption agreement template created using ms word

Browse Our Example Of Contract To Buy A House Template For Free In 2020 House Template Templates Purchase Agreement : Stockholder Desires That Such Redemption Shall Be Accorded Capital Gains, Rather Than Ordinary Income Treatment, Under The Rules.

Loan Agreement Stockholder To Corporation Template By Business In A Box. The document is created before your eyes as you respond to the questions. Here is preview of this first sample stockholders redemption agreement template created using ms word A shareholder agreement template contains important, practical, and specific rules which are directly related to the company and to its shareholders. You fill out a form. lender name (the lender), a stockholder of. A shareholder agreement template provides certainty and clarity with regards to what you can or can do in the company. A shareholder agreement, also sometimes called a stockholder agreement, is a document between a corporation and its shareholders. Standard loan agreement stockholder to corporation for your needs. Get 1,900+ templates to start, plan, organize loan agreement this loan agreement (agreement) is made and effective the date, between: Signature of the stockholder, owner of the corporation, other stockholders and witnesses. Savesave stockholders agreement series a template 1 for later. How to modify the template. At the end, you receive it in word and pdf. 100%(1)100% found this document useful (1 vote). Sample contracts and business agreements.

Agreement Of Purchase And Sale Of Shares By Shareholders Microsoft Word Templates : Lender Name (The Lender), A Stockholder Of.

Shareholder S Voting Agreement Template In Word And Pdf Formats Page 4 Of 10. You fill out a form. Here is preview of this first sample stockholders redemption agreement template created using ms word A shareholder agreement template contains important, practical, and specific rules which are directly related to the company and to its shareholders. Signature of the stockholder, owner of the corporation, other stockholders and witnesses. A shareholder agreement template provides certainty and clarity with regards to what you can or can do in the company. Sample contracts and business agreements. Get 1,900+ templates to start, plan, organize loan agreement this loan agreement (agreement) is made and effective the date, between: The document is created before your eyes as you respond to the questions. Savesave stockholders agreement series a template 1 for later. lender name (the lender), a stockholder of. How to modify the template. At the end, you receive it in word and pdf. Standard loan agreement stockholder to corporation for your needs. A shareholder agreement, also sometimes called a stockholder agreement, is a document between a corporation and its shareholders. 100%(1)100% found this document useful (1 vote).

18 Shareholder Agreement Templates Free Word Pdf Format Download Free Premium Templates , Easy To Use Word, Excel And Ppt Templates.

Usa Short Form Stock Redemption Agreement Legal Forms And Business Templates Megadox Com. Get 1,900+ templates to start, plan, organize loan agreement this loan agreement (agreement) is made and effective the date, between: Signature of the stockholder, owner of the corporation, other stockholders and witnesses. You fill out a form. The document is created before your eyes as you respond to the questions. Sample contracts and business agreements. Here is preview of this first sample stockholders redemption agreement template created using ms word lender name (the lender), a stockholder of. A shareholder agreement template provides certainty and clarity with regards to what you can or can do in the company. Standard loan agreement stockholder to corporation for your needs. A shareholder agreement template contains important, practical, and specific rules which are directly related to the company and to its shareholders. At the end, you receive it in word and pdf. Savesave stockholders agreement series a template 1 for later. A shareholder agreement, also sometimes called a stockholder agreement, is a document between a corporation and its shareholders. 100%(1)100% found this document useful (1 vote). How to modify the template.

Checklist For Preparing Shareholder Agreement Free Contractstore , A Shareholder Agreement Template Contains Important, Practical, And Specific Rules Which Are Directly Related To The Company And To Its Shareholders.

Shareholder Agreement Sample Template Word And Pdf. Here is preview of this first sample stockholders redemption agreement template created using ms word 100%(1)100% found this document useful (1 vote). Sample contracts and business agreements. The document is created before your eyes as you respond to the questions. Signature of the stockholder, owner of the corporation, other stockholders and witnesses. You fill out a form. A shareholder agreement, also sometimes called a stockholder agreement, is a document between a corporation and its shareholders. A shareholder agreement template contains important, practical, and specific rules which are directly related to the company and to its shareholders. Savesave stockholders agreement series a template 1 for later. lender name (the lender), a stockholder of. Get 1,900+ templates to start, plan, organize loan agreement this loan agreement (agreement) is made and effective the date, between: At the end, you receive it in word and pdf. A shareholder agreement template provides certainty and clarity with regards to what you can or can do in the company. How to modify the template. Standard loan agreement stockholder to corporation for your needs.

Shareholders Agreement Draft Makati Dividend - Acquire Business License For $79.00.

Free Shareholder Agreement Free To Print Save Download. A shareholder agreement template provides certainty and clarity with regards to what you can or can do in the company. You fill out a form. Sample contracts and business agreements. At the end, you receive it in word and pdf. A shareholder agreement, also sometimes called a stockholder agreement, is a document between a corporation and its shareholders. 100%(1)100% found this document useful (1 vote). How to modify the template. The document is created before your eyes as you respond to the questions. lender name (the lender), a stockholder of. Signature of the stockholder, owner of the corporation, other stockholders and witnesses. A shareholder agreement template contains important, practical, and specific rules which are directly related to the company and to its shareholders. Standard loan agreement stockholder to corporation for your needs. Savesave stockholders agreement series a template 1 for later. Get 1,900+ templates to start, plan, organize loan agreement this loan agreement (agreement) is made and effective the date, between: Here is preview of this first sample stockholders redemption agreement template created using ms word

22 Printable Shareholders Agreement Pdf Forms And Templates Fillable Samples In Pdf Word To Download Pdffiller - This Template Shareholders Agreement Is A Contract Between Shareholders (And The Company), Setting Out The Rights And Obligations Of The Shareholders (And The… Shareholders Agreement Template.

Shareholders Agreement Uk Template Make Yours For Free. 100%(1)100% found this document useful (1 vote). You fill out a form. Signature of the stockholder, owner of the corporation, other stockholders and witnesses. Sample contracts and business agreements. Savesave stockholders agreement series a template 1 for later. A shareholder agreement template contains important, practical, and specific rules which are directly related to the company and to its shareholders. The document is created before your eyes as you respond to the questions. At the end, you receive it in word and pdf. A shareholder agreement template provides certainty and clarity with regards to what you can or can do in the company. lender name (the lender), a stockholder of. Get 1,900+ templates to start, plan, organize loan agreement this loan agreement (agreement) is made and effective the date, between: How to modify the template. Standard loan agreement stockholder to corporation for your needs. Here is preview of this first sample stockholders redemption agreement template created using ms word A shareholder agreement, also sometimes called a stockholder agreement, is a document between a corporation and its shareholders.